原题 | 数学に王道なし.
作者 | 小平邦彦
译者 | 陈治中
校对 | 胡作玄
译自 | 数学の学ざ方, 岩波书店, 1987 年, pp.77-93。本文来自《数学译林》
题目是要谈数学的学习方法, 我只想先谈谈笔者自己是怎样学习数学的, 通过回顾来讨论数学的学习方法.
首先, 我在小学生的时候所学习的并不是现在的“算数”, 而是“算术”. 算术大概就是计算术的意思. 学习的内容以计算技术为主, 图形的东西很少. 究竟怎样学习计算技术的, 几乎都忘记了. 但非常记得二年级时每节课就象念经那样背诵乘法九九表. 还记得一件事是计算距离. 当时的度量制以尺、贯、升为基本单位, 6 尺是 1 间, 60 间是 1 町, 36 町是 1 里, 所以它的计算比前些年在现代化之际流行的 2 进制法及 5 进制法要难得多. 我们要反复练习象

这样的计算.
现在的算数中都要教计算的含义. 例如对于分数的除法
为什么我要用 4/5 去除时可以将分子与分母交换而去乘 5/4 呢? 就需要说明它的理由. 我学习算术时就没有这种说明, 只学习这种规则, 即用分数去除时可以将分子与分母交换后去乘, 然后就在反复的计算练习中不知不觉地明白了它的意思, 也就记住了. 而所谓明白了它的意思, 也并不是说已经能够说明为什么用分数去除时可以将分子与分母交换后做乘法, 而是指能够非常自如地进行分数的计算及其应用.
中学一年级时学习算术, 从 2 年级到 4 年级学习代数与几何. 对一年级的算术已经亳无记忆. 代数则有 2 次方程的解法、联立 1 次方程式、因式分解, 等等, 因式分解充其量也不过是 4 次式, 代数中还学习了对数的计算与开平方的方法. 所谓开平方法, 说的是如下那样求 的计算法.

当时中学里的有理数为有限小数或循环小数, 但是, 例如, 若按开平方法用小数表示, 就是
永远也开不尽, 是一个非循环而极不规则的无限小数. 故 是无理数, 就是这样子学习的(秋山武太郎:《わかる代数学》11 版, 昭和 57 年, 97 页. 看了这本书, 就明白当时中学的代数大致是什么样的了. ——原注). 笔者按开平方法计算了 、、 等, 看到的不是循环小数, 也就理解了 、、 等的确是无理数.
但是按开平方去求时, 充其量也不过算到小数点后 10 位左右为止. 实际计算一下 看看, 其计算如下所示的那样, 如果没有相当的毅力, 要计算到 15 位或者 20 位是很难的.

当然, 虽然
到小数点后 10 位都不循环, 但也不能说明 就不是循环小数. 尽管如此, 我们仍然确信 作为非循环的无限小数是个无理数. 那么为什么就没有产生这样的疑问, 即如果再往下计算或许就是循环的了呢? 怎么也想不起来了, 但恐怕是因为看到 的开平方法计算, 随着位数的增加而很快变得很复杂的样子, 就领悟到它不会是循环的. 或者是因为相信了教科书上写的 是非循环的无限小数也未可知. 总之, 反复进行对数计算及开平方法那样的计算练习, 对于培养对实数的感觉, 我认为是极其有效的.
谁都知道 是无理数, 但并非人人都知道 是无理数的证明. 数学家中不知道 是无理数的证明的人似乎也不少. 笔者直到不久前也是其中的一个, 在高木先生的《解析概论》中也只有自然对数的底 是无理数的证明, 而没有 是无理数的证明, 尽管如此, 对是无理数仍然坚信不疑, 恐怕是因为从中学时代起就反复听到说 是无理数的缘故.
本讲座中也没有 是无理数的证明. 即使让 是超越数的证明留给专业书籍, 但 是无理数的证明还是希望记录下来, 所以这里给出 I. Niven 的初等证明. (I. Niven: A simple proof that T is irrational, Bull. Amer. Math. Soc, 53(1947), p. 507. 这一证明在高中的微积分范围内可以理解, 在此意义上是初等的——原注)
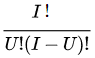
证明是反证法. 假定 是有理数就产生矛盾, 为表明这一点, 设 和 是任意的自然数, 令
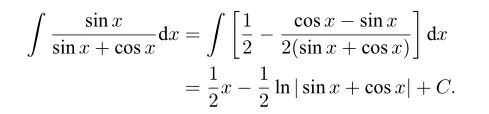
考虑积分
当 时, . 因此, 由于
所以
正如熟知的那样, 对于任意的实数 , 有
(如果固定一个自然数 , 考虑 , 则
——原注)
故对于 , 若取充分大的 , 则
接着, 由分部积分
因此
重复此分部积分, 因为 , 所以得
又因为 , 所以
故
利用二项式定理展开(1)的右端 , 得
从而
到此为止, 无论 是无理数还是有理数都是成立的. 现设 是有理数:
因为(1)的 是任意的, 所以可设它与 中的分母 相同. 这样一来, 因为
为整数, 由(4), 全是整数, 因此, 由(3)可知 为整数, 与(2)矛盾(证明终).
从中学 2 年级到 4 年级的 3 年内学习的几何是古典的欧几里得平面几何. 近年来, 数学教育的现代化, 欧几里得平面几何已经从数学的中等教育中消失了. 听说其理由之一是因为欧几里得平面几何在逻辑上不严密. 但当时笔者却觉得欧几里得平面几何是极为严密的学问体系. 而且还通过欧几里得平面几何来学习逻辑. 平面几何也许并不严密, 但这里学到的逻辑却是严密的逻辑. 谢天谢地, 后来无论是在高中还是在大学, 在逻辑方面并没有学到任何更新的东西.
在当时中学的欧几里得平面几何中, 由纸上描绘的图形表示所看到的现象这种自然科学味道很强. 如果把在纸上描绘图形作为一个实验, 把证明看作说明该实验结果的理论, 那么平面几何可以认为就是自然科学. 为了说明这一点, 作为例子, 考察下面这个 Simson 逆定理.
定理 由一点 向 的三边延长线上所作的垂线的垂足 、、 若在一条直线上, 则 位于 的外接圆上.
证明 首先作一图. 引直线 , 外取又一点 , 上取三点 、、, 通过 、、分别引直线 、、, 使与直线 、、 垂直. 然后假设 与 的交点为 , 与 的交点为 , 与 的交点为 , 则可得到由一点 向 的三边或其延长线上作的垂线的垂足 、、 位于一条直线上的图 1, 对于图 1 画出 的外接圆一看, 的确位于其外接圆上.

下面证明 位于 的外接圆上. 由假设, 因为 , 四边形 内接以线段 为直径的圆. 故由圆周角不变的定理
同样因为四边形 内接以线段 为直径的圆, 所以由圆周角不变的定理
看图, 由(1)与(2)可知
故由圆周角不变定理的逆定理, 四点 、、、 位于同一圆周上, 亦即 位于 的外接圆上(证明终).
描绘图 1 以确认 位于 的外接圆上, 到此为止是实验, 而说明该实验结果的理论就是证明. 对于图 1, 作为说明 位于 上的理论, 上述的证明是十分严密的.
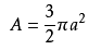
而当我们把 Simson 的逆定理看作是由公理所构成的平面几何的形式体系中的定理时, 上述证明并不严密. 为什么呢? 因为图 1 表示了 Simson 的逆定理的一种情形, 还有如下图 2 的情形. 因此, 即使对于图 1 证明了 Simson 的逆定理, 也不表示 Simson 的逆定理对一切场合都成立. 要证明 Simson 的逆定理对一切场合都成立, 就要研究所有的情形, 明确会出现什么样的图形, 必须证明 Simson 的逆定理无论对哪种图形都成立. 而对此, 欧几里得平面几何的公理还不充分, 还必须补充序的公理. (小平邦彦: 《几何のおもしろさ》(数学入门丛书7), 岩波书店, 158-164页. ——原注)

这样, 旧制中学的欧几里得平面几何作为由公理构成的数学体系还缺乏严密性. 但尽管如此, 还是把欧几里得平面几何看作极其严密的体系, 这恐怕是因为它作为图形的自然科学是十分严密的. 在学习平面几何时告诉我们重要的是正确描绘图形, 而这与物理实验必须精密是一回事.
欧几里得平面几何中由于没有序的公理, 如果描绘不同的图形进行讨论, 例如就可以证明任意三角形是等腰三角形. 若把它作为欧几里得平面几何的重大缺陷, 笔者认为是非常可笑的. 物理中做错了实验也会得出奇怪的结果, 由于图形的错误而得出来奇怪的结果可以说是很自然的. 假定不管画出什么样的图形都能得出正确的结果, 反倒难以理解.
我还清楚地记得巧妙添加辅助线解决平面几何问题后的快乐, 而具体是什么样的问题, 以及怎么解决的, 已经全然不记得了.
当时中学的代数与几何教科书是从 2 年级到 4 年级各一册. 3 年级时, 曾与同班的西谷真一两人从头开始做教科书上的问题, 不多时间就把 4 年级为止的问题都做完了. 于是就开始了阅读藤原松三郎著的《代数学》. 《代数学》是专业书, 第一卷大约 600 页, 第二卷也有 700 页, 中学的图书室里还有个竹内端三著的《高等微分学》, 但看到高等的就觉得是很难的数学, 也就敬而远之了. 要是知道《高等微分学》是高中用的微分学, 而《代数学》倒是专业书, 那当然就先读《高等微分学》了.
几乎已经记不起来到底是怎么念的, 以及念的是《代数学》的哪一部分, 但还隐约记得费了不少功夫学习开始的整数系的公理结构, 以及接下来的二次剩余互反律, 连分数还比较容易, Galois 理论却怎么也不明白, 等等. 幸好现在又出版了用片假名写的保留原来旧汉字的老版本《代数学》(藤原松三郎: 《代数学》1-2卷, 内田老鹤圃新社. ——原注), 我才得以在浏览该书的同时尽可能地回忆当时是怎样来学习的.
《代数学》的第一章第一节, 首先根据 Peano 公理定义了自然数系:
如此定义了自然数系 后, 1 的后继数 称 2, 2 的后继数 称 3, 3 的后继数 称 4, 依次定义 5, 6, .
又由 的公理可以导出数学归纳法原理.
第二节中将 推广到全体整数的系统 , 按数学归纳法证明了, 关于整数的加法与乘法的交换律、结合律、分配律成立. 笔者费了很大的劲才理解这一证明. 与现在的 算数 不同, 算术中交换律与结合律从一开始就明确了, 所以并不是作为运算法则而特别学习的. 其证据就是乘法口诀表只背诵 当 的情形, 而当 时则是用 替换 后计算, 就是这样学习的. 笔者至今当做

那样的乘法时, 仍不由自主地计算为

本来是作为理所当然的事情而接受的交换律等等, 现在又要按数学归纳法重新加以证明, 所以理解其证明就很不容易. 还要煞费苦心故意装着不知道交换律, 在笔记本上抄下证明.
第二章是有理数域的数论. 记得这里第六节高木先生关于二次剩余互反律的证明很难. 正如熟知的那样, 对于自然数 与整数 , 当满足
的整数 存在时, 称 为 的二次剩余. 当 为奇数时, 定义 Legendre 记号为: 若 是二次剩余则为 . 若 非二次剩余则为. 这样, 互反律
就成立. 高木先生关于互反律的证明很简明, 现在读起来很明白, 但对于当时是中学生的笔者却很难理解. 为了理解则将其抄在笔记本上, 费了不少功夫, 最终也就记住了证明. 还记得自己也觉得是搞懂了.
第三章是无理数, 第二节是 Cantor 的无理数论, 他是把无理数作为有理数列的极限而引进来的. 第四节是 Dedekind 基于分割的无理数论. 关于 Cantor 的无理数论还隐约有些记忆, 而对于 Dedekind 的分割已毫无记忆了, 大概是因为不懂就跳了过去.
第四章连分数很明白, 记得还很有意思. 特别留下印象的是如下定理, 即实数是二次无理数的充分必要条件是其连分数展开为循环连分数.
其次留有记忆的是第七章行列式的定义
中置换
的符号的意思怎么也不明白. 最终是明白了, 但怎么搞懂的已经全然记不得了.
接下来还记得第十一章的 Galois 理论怎么也弄不明白. 章末的诸定理中还有 Loewy 的 Galois 理论. 因在高中(旧制)一年级时详细学习了 Loewy 的 Galois 理论, 笔记本还留着, 所以大概是进高中以后才念的 Galois 理论.
得益于在《代数学》中的苦心钻研, 后来无论是在高中还是大学, 数学方面没有费多大的劲就过去了. 无论是在课堂上还是自己读书, 只要仔细抄写在笔记本上也就明白了.
大学一年级时听了高木先生的解析概论课. 在练习中有这样的问题, 在区域 中, 若 是无理数, 则 ; 若 是有理数( 为既约分数且 )则定义为 的函数 其连续性如何呢? 如所周知, 若 是有理数, 则 在 处不连续; 若 是无理数, 则在 处连续. 关于这一点, 还记得稍稍改变了 的定义, 即假设当 是无理数时 , 当 是有理数时 . 那么若 有理数, 则 在 处不连续; 若 是无理数, 则在 处连续, 进而还注意到, 若 是二次无理数, 则在 处可微分. 从这时候起就开始考虑定理的其他证明, 或者将问题改变一下看看.
以上叙述了笔者是怎么学习数学的, 但回过头来看看, 首先注意到数学的理解方法有多种多样. 一般来说仅仅靠背是不行的, 必须理解其意思. 连文部省的 算数 指导要领中也有如“对于分数要理解乘法及除法的意义, 扩展使用它们的能力”这一项. “理解”常被认为是“背记”的对立面, 实际上似乎并不是那么简单的.
笔者从中学时候起就很好地“理解”了 是无理数, 但直到不久前还不知道它的证明. 也许大家觉得, 既然不知道证明, 那就不是理解而是“背记”. 但不可思议的是, 一开始读到上述 I. Niven 的证明时, 也并没有感到由此而对 是无理数这一事实的理解深刻了多少, 感觉到的是他的证明只不过确认了是无理数这一明显不过的事实, 仅此而已那么为什么不知道证明却又坚信自己很清楚 是无理数这件事呢? 究其理由大概有三个, 即从中学生时候起反复教我们 是无理数; 同时看到小数展开
(当时, 的展开只知道 1874 年 W. Shanks 计算到了 707 位, 后来到了 1946 年知道 Shanks 的结果从 528 位开始错了. 现在 利用计算机可以计算到 1 亿位以上. ——原注)
就觉得它不象是循环的; 再有就是到大学后听说了 Lindermann 在 1882 年关于 是超越数的证明.
为了理解数学的定理, 一般是一步一步循着证明的论证走. 但是循着证明的论证走是为了看看定理所叙述的数学现象的机理, 而不是为了确认证明是正确的, 为什么呢? 因为显然没有必要各自都去确认著名定理的证明是正确的. 根据学习《代数学》时的经验, 开始只要把不明白的证明抄写在笔记本上背出来, 不知不觉中也就明白了, 至少感觉到是懂了. 将不明白的证明在笔记本上反复抄写, 直到背出来为止, 我认为这是学数学的一种方法. 初等几何的大家秋山武太郎先生的名著《通俗几何学》的绪言中也有这样的句子: 特别地, 因为几何学是数学中要背的东西, 所以连问题都必须记住(秋山武太郎:《わかゐ几何学》5 页——原注). 顺便说一下, 古屋茂与笔者的弟弟在武藏高校(旧制)都随秋山先生学习过平面几何, 据说不管带着什么样的难题去问, 先生马上当场就解给他们看.
要是那样的话, 不就是说证明只要背下来也就明白了吗? 似乎还未必如此. 在反复记笔记中间, 在大脑中就产生了些什么, 从而就明白了! 好象就是这样的. 如果什么也没有产生, 那么尽管背了下来, 也还是不会明白的. I. Niven 关于 是无理数的原先的证明非常简单明了, 但开始读的时候, 感觉就象看到了巧妙的戏法, 却没有感觉到是明白了. 而为了写作本稿, 多次抄写在笔记上改写证明, 这才觉得是弄明白了.
笔者也有这样的经验, 即反复在笔记上抄写却还是弄不明白, 这就是十几年前, 当我想要了解从未接触过的数学基础理论到底是什么样的学问, 而去阅读 Kleene 的 Introduction to Metamathematics, 以及 Schoenfield 的 Mathematical logic 等书的时候. 因为觉得数学基础理论是最严密的数学, 所以只要仔细循着其论证走就能清楚明白了, 从这样的假定开始阅读, 不要说清楚明白, 简直是迷迷糊糊一无所获. 虽然非常仔细地抄写在笔记本上苦心钻研, 还是如坠五里雾中, Gödel 的不完全性定理好容易明白了一些, Cohen 的力迫法却始终也搞不懂. Kleene 的书与 Schoenfield 的书都是研究生院一年级的教科书, 所以青年学生应该很容易就能读懂的. 但是稍微上了点年纪就怎么也弄不明白了, 真是不可思议的现象.
对于应用广泛的基本定理则经常有这样的事, 即, 开始时循着证明的论证一步一步走都搞明白了, 又由于定理的频繁使用也完全记住了, 但这期间证明的方法却被慢慢地忘得一干二净. 然而, 决不是说忘记了证明就说定理也不明白了, 倒还不如说是在反复应用定理的过程中反而越发加深了对定理本身的理解. 是无理数这一定理就属于虽然不知道证明但却完完全全是非常清楚的. 人们也许会说不知道证明却完全理解的定理恐怕是个例外, 但实际上我觉得未必是例外. 1953 年 F. Hirzebruch 在代数簇的场合证明了 Riemann-Roch 定理, 猜想该定理在复流形时也照样成立, 1963 年传来了 Atiyah 与 Singer 证明了复流形的 Riemann-Roch 定理的消息. 因为知道使用 Riemann-Roch 定理就可以进行复解析曲面分类的研究, 所以笔者立即就开始了复解析曲面分类的研究. 那时, 对笔者来说, 复流形的 Riemann-Roch 定理就是一个完全理解但却不知道其证明的定理. 再有, 当 1952 年周炜良和笔者在合作的论文中证明具有两个代数无关的有理函数的 Kähler 曲面是非奇异代数曲面时, 证明中用到的代数曲面的奇点消灭定理, 对笔者来说, 也是一个不知道证明但非常清楚的定理. 象奇点消灭定理那样最最基本而证明非常长的定理, 实际上, 虽然不知道证明, 但作为完全理解了的定理, 能够应用的场合并不少. 近期出现了在证明中使用计算机的新型定理. 那么什么叫做理解了这种定理呢, “理解”的含义已经越来越扩展了.
再说数学的学习方法, 打开数学书一看, 就是若干个定义与公理, 以及定理的证明: 为了理解定理, 首先要阅读证明, 循着其论证一步一步看. 最好是弄懂证明, 如果不明白时, 就在笔记上反复抄写看看, 大多数情形就会明白的. 我觉得, 在笔记上反复抄写不懂的证明是数学的一个学习方法. 如果反复在笔记上抄写仍不明白, 那该怎么办才好呢? 我也不太知道. 但笔者在学习 Schoenfield 的书时, 尽管反复在笔记上抄写, 但仍然不明白力迫法, 所以干脆也就不了了之. 那时因为作者已接近退休, 又不是非学数学基础的理论不可, 倒也无可非议. 而对大学数学专业的学生, 笔者本人希望, 既然已经是数学专业的学生, 那么本着读书百遍, 其义自见, 对 论法也同样, 在笔记上抄写上百遍, 就一定能明白的.
如上那样一旦明白了的定理, 为了加深对其理解, 尝试想想别的证明是很有效的. 这是因为另外的证明是表示从另一角度去看定理所叙述的数学现象的机理.
例如全体实数的集合是不可数的, 一般是按 Cantor 的对角线法证明的. 只要按反证法证明 0 与 1 之间全体实数的集合 是不可数的即可. 所以假定 是可数的, 亦即
由此导出矛盾. 为此设 的 10 进小数表示为
这里 表示数字 中的某一个, 选择数字 , 使满足条件
令
因为 是 0 与 1 之间的实数, 所以应与 中的某一个一样, 设 , 则 与 (1) 矛盾. 故 不是可数的(证明终).
这一证明虽然简单明了, 但总有一种似乎被花言巧语所蒙骗的感觉. 因此考虑别的证明看看. 假定全体实数的集合 是可数的, 亦即
由此导出矛盾. 对于各个 , 固定一个包含 的开区间
由 (2), 因为
在实直线 上任意选取闭区间 时, 若考虑区间
的宽度, 则由(3)可以想象, 的宽 比 中的宽度总和小:
实际上可以很容易确认(4)成立. 因为闭区间 可以被开区间 覆盖, 所以由 Heine-Borel 覆盖定理, 就被 中的有限个覆盖:
这时显然为
(本讲座《解析入门》51-52 页——原注) 故(4)成立.
取定一个实数 , , 若取 是以 为中心, 宽度为 的开区间
则
这与(4)矛盾. 故 不是可数的(证明终).
这就得到了实数集合是不可数的另一证明, 这另一证明虽然比用对角线法的证明要麻烦, 但并没有被花言巧语所蒙骗之感. 由这个另外的证明, 不仅是不可数的, 而且知道 的可数子集只不过占了 的极小一部分. 为什么呢? 因为假设 是 的可数子集, 则对于任意的 , , 被宽度总和为 以下的开区间 所覆盖.
再有, 为了加深对定理的理解, 尝试将定理应用于各种各样的问题中也是很有效的. 如果已经可以自如地应用定理, 那么该定理应该算是完全理解了, 在定理的各种各样的应用中往往就忘掉了定理的证明, 但即使忘掉了证明, 对定理的理解并没有改变.
象这样虽然已经忘掉了证明但却完全理解的定理不胜枚举, 而对于这种定理, 现在所知道的只是, 我自己都曾经循着证明的论证一步一步做过. 与此相对, 则是知道曾经有其他人循着证明的论证一步一步做过、而又屡屡应用的定理, 即是那种不知道证明却很明白的定理. 知道证明但却忘掉了, 与完全不知道证明, 虽然看起来好象非常不一样, 但自己循着证明的论证一步一步做过所知道的, 与有人循着证明的论证一步一步做过所知道的, 也可以认为没有太大的差别. 如果这样的话, 那么不知道证明却完全明白的定理, 与证明虽已忘掉但完全理解的定理, 也并没有多大的差别因为有了这种信心, 所以才能应用这种定理.
最后, 所列举的数学的学习方法就是, 将不懂的证明在笔记上反复抄写下来看看、考虑另外的证明、试着将定理应用于各种问题, 这些都是非常平凡的事情. 所谓几何上没有捷径(欧几里得), 恐怕就是说数学上没有捷径.
本文转自:《数学译林》

英国伟大的的数学家、物理学家、天文学家、自然哲学家牛顿是位百科全书式的“全才”。他的《自然哲学的数学原理》是自然规律和法则的数学表达。他的微积分创造性解决了物理学中众多很难解决的问题。在当时看来,很多问题只能是定性而不能是定量,但是牛顿创造了一种新的数学方法,使看似不可能用数学表达的事物可以用数学的形式表达。
爱情数


心形线

笛卡尔(左)与克里斯汀(右)










四个朝向不同的心形线
520

I choose you.
Mylove' = 0
My love is constant.



中国在那段举步维艰的历史里、晦暗不明的光景中,中国人在低头前行。按说这样的环境是最不适合优秀人才的生长和发展,但是中国人却不然,那时候的中国有大量的优秀人才涌现出来,群英荟萃、灿烂光辉。
艰苦中的知识分子们,铸就了一个无法超越的璀璨时代,一首令人敬佩的时代之诗。而陈省身则是灿烂星河里无法避免的一颗明星。
年少便是卓尔不凡
关于小学,陈省身只上了一天,因为放学目睹了老师打同学的手心,而不肯再踏入校门一步。陈省身的小学生涯就这样结束了。

陈省身9岁的时候就已经以优秀的成绩,考入嘉兴建校最早的学校——秀州中学的预科一年级。而九岁的陈省身这时已经可以做复杂的数学题。
1922年,陈省身因为父亲升职,而迁往天津,第二年便进入了扶轮中学学习。未满15岁,陈省身就考入南开大学预科,别说是过去,就是教育条件如此之好的今天,也难出这样的天才少年。
遇到恩师
数学系主任姜立夫对陈省身的影响很大。姜立夫开创了南开大学数学系,对于中国的数学事业称得上是先行者。数学系1926级学生只有5名,陈省身和吴大任是全班最优秀的。
陈省身原本想要学物理系,但由于自己不喜欢实验改选了数学系。作为老师的姜立夫自然是十分高兴能有这样优秀的学生,二年级时,姜立夫让陈省身给自己当助手,任务是帮老师改卷子。

如果陈省身是千里马的话,姜立夫就是伯乐,完全正确的欣赏和培养了这匹千里马,使得陈省身这匹“千里马”一跃千里。
进入更高的殿堂
1931年陈省身进入了清华研究院,是我国最早一批的数学系研究生。1934年夏,他毕业了,获硕士学位,成为中国自己培养的第一名数学研究生。同年,获得奖学金,赴布拉希克所在的汉堡大学数学系留学。
在汉堡大学,他接触了不少数学界的学术大家,接触了顶尖的数学学术知识,对数学无比热爱的陈省身,在数学天堂里遨游,在自己的擅长的领域自然是如鱼得水。1936年,他决定,但他决定去巴黎跟嘉当先生工作一年。

战火没有阻挡他的脚步
1937年,陈省身回国,这一年,战争全面爆发,战争对每个领域都是全方位了的毁灭。民生凋敝、百业不振,但是这并没有打陈省身继续研究数学的热情。陈省身接受聘约之后,随着西南联大一同迁到昆明。当时战局紧张,在昆明的日子也是十分紧张,没有图书馆,教室也很少。
就在这样艰苦的条件之下,陈省身在昆明的轰炸声中写出震惊外国数学研究人员的两篇文章,发表在普林斯顿大学与高级研究所合办的刊物《数学纪事》上,数学家H.外尔和A.韦伊认为陈省身的研究工作达到了很优秀的水准,想要陈省身去往普林斯顿。
1943年陈省身发表了具有划时代意义的论文《关于高斯-博内公式的简单内蕴证明》,这篇论文使得陈省身扬名国际,奠定了他“微分几何之父”的坚定位置。

桃李满天下
1984年陈省身出任了南开大学数学所所长。为祖国培养了大量的优秀人才。陈省身曾是杨振宁本科期间的老师,吴文俊院士也是陈省身的学生。M.I.T有个有名的教授曾听过陈省身的课,他说:“对于我们这代人来说,微积分就是陈省身。”
陈省身是公认的数学家,被美国科学院推选为院士,他开创了一个崭新发领域“整体微分几何”。
一段佳话
陈省身经杨振宁的父亲杨武之介绍认识了当时清华大学数学系教授郑桐荪的女儿——郑士宁。而后二人结婚生了一个儿一女,也是成就了一段佳话。
陈省身在数学领域做出了正大贡献,也为国家挣了光,让国际数学领域也有了中国的出现。2004年12月3日陈省身逝世,享年93岁。就此,他告别了他辉煌的一生。

他的脑子毫不停歇的运转了七十年。这七十年,是他孜孜不倦的七十年。他说:“我读数学没有什么雄心,我只是想懂得数学,如果一个人的目的是名利,数学不是一条捷径。”
培养出优秀子女
陈省身教育孩子,有着与“控制式”的父母不一样的教育方式,他选择“放纵式”的教育。尊重孩子的选择。
陈省身的儿子陈伯龙是数学系研究生,雄心勃勃的想要像父亲一样当一个数学家,但是当他想要进一步深造。陈伯龙去数学研究班听了一节课后,发现自己并不是当数学家的料,他回家向“微积分之父”的父亲请教,却发现自己怎么都弄不明白,陈伯龙终于明白他的能力与天赋不足以让他在这个领域做到优秀。

他把想法说给了父亲之后,陈省身并没有苛责儿子非要让儿子当一个数学家。他建议儿子发挥特长进入商界。陈伯龙最终转学精算,进入了保险业,做了一名精算师。供职四十余年,在自己的领域里也做的风生水起。
陈伯龙回望过去的时候,也认为当初的选择是正确的,自己更适合做精算。陈省身的女儿陈璞原本对物理有兴趣,并且是加州大学伯克利分校物理系毕业。后来读博她又改学了经济,在银行供职几年后,自己就出去独立单干。
毕业后在德州商业银行(现合并到大通银行)工作,任副总裁助理,后自己设立了一个有关经济法规的咨询公司,现为首都银行董事之一。

陈璞在金融领域里也有着自己的一席之地。陈璞在读硕士期间,认识了朱经武。这位朱经武后来成为了我国著名的超导物理学家。陈省身知道后,就拜托杨振宁打听这位朱经武,知道朱经武人很好之后,便放下了心。
陈璞是大数学家之女,著名的物理学家之妻,世界上恐怕也没有别人如此了。这一双儿女虽然没有从事数学,但都是智商超群之辈,但在自己的领域里都活的精彩。
*文章摘自史海观复

在对着乔治梅森大学最近的一届新生致辞时,丽贝卡·戈尔丁(Rebecca Goldin)传递了一个令人沮丧的数据:最近的一项研究显示,36%的大学生在大学四年时间里批判性思维并未显著提高。戈尔丁解释说:“这些学生很难区分事实和观点,也很难区分原因和相关性。”
接着,戈尔丁给出了一些建议:“多修一些数学和科学课程。我认为定量思维是处理我手头信息的最佳工具”。以她引用的研究为例,乍一看,这似乎表明三分之一的大学毕业生是懒惰或无知的,或者高等教育是一种浪费。但戈尔丁告诉她那些双眼发光的听众,如果你仔细观察,你会发现另一个信息:“原来,这三分之一的学生没有修过任何科学课程。”
戈尔丁是乔治梅森大学的数学科学教授,她毕生致力于提高人们的定量思维素养。除了研究和教学职责之外,她还志愿担任中小学数学俱乐部的教练。2004年,戈尔丁成为乔治梅森大学统计评估服务项目的研究主任,这一项目后来发展成为由非营利组织美国科学智识和美国统计协会运营的STATS项目。
当《量子》杂志第一次接触戈尔丁时,她担心自己的双重身份(数学家和公务员)太过“截然不同”,无法在采访中调和。然而在交谈中,我们很快就明显感觉到,在戈尔丁的这两个自我之间发挥沟通协调作用的,正是她的信念:数学推理和研究不仅用途广泛,而且令人愉快。无论是讨论在高维空间中操纵流形,还是讨论统计显著性的意义,她对逻辑的热情都颇具感染力。
《量子》杂志采访了戈尔丁,谈到了如何在抽象思维中发现美、STATS如何帮助记者精通统计知识,以及为什么数学素养可以提高人的能力。以下是经过编辑和精简的对话。
你对数学和定量思维的热情从何而来?
我小的时候从没想过自己喜欢数学。我非常喜欢数列和其他一些奇怪的东西,现在回想起来,这些东西都跟数学有关。我父亲是一名物理学家,他会在餐桌上提出一些奇怪的谜题或谜语,有时我只花一分钟就能解开它们,有时我会说:“唉,我实在不知道那是怎么回事!”但在解决问题的过程中,我的心情整体是轻松愉快的。
你是什么时候意识到,自己可以把对解决谜题的兴奋应用到专业的数学学习上?
其实已经很晚了。当我在哈佛大学读书的时候,我修了一门拓扑学的课。拓扑学是研究空间的学科,它跟我之前见过的所有课都不一样。它不是微积分,没有复杂的计算。拓扑学里的问题真的非常复杂而特别,而且很有趣,这是我从未预料到的。这种感觉有点儿像是坠入爱河。
你的主要研究方向是辛几何和代数几何。你如何向非数学工作者描述自己的工作?
可以这么说,我在研究数学对象的对称性。当你对宇宙一类的东西感兴趣时,对称就出现了。在我们的宇宙中,地球在自转,同时也绕太阳公转,而太阳又在一个更大的星系中旋转。所有这些旋转都是对称性。还有很多其他产生对称性的方法,它们可能会非常非常复杂。所以我们用一种被称为“群”的简洁数学对象来考虑这些对称性。这一点非常有用,因为如果你想解方程,你又知道这些方程中存在对称性,那本质上你就可以在数学上找到一种方法来扔掉这些对称性,让方程变得更简单。
是什么促使你去研究这些复杂的对称的?
我只是觉得它们真的很美。很多数学最终都是艺术性的,而不是实用性的。这就像有时你看到一幅有很多对称性的画,会脱口而出:“哇,真是太神奇了!”但当你学习数学时,你会开始“看到”更高维空间中的对象。你不一定要用雕塑或艺术品的方式来想象它们,但你会开始觉得你所看到的整个对象系统以及它的对称性真的很美。就是美,没有别的好词来描述这种感觉了。
你是如何参与STATS的?
当我成为乔治梅森大学的教授时,我意识到自己想做的不仅仅是研究和数学。我喜欢教书,在象牙塔里,我只是在解决自己认为好奇和有趣的问题,但我也想为象牙塔之外的世界做点什么。
当我第一次加入后来成为STATS的项目时,这个工作有种“挑刺儿”的意思:观察媒体如何谈论科学和数学,并在有人犯错时指出错误。随着我们工作的进展,我对记者如何看待和处理定量问题越来越感兴趣。
报告统计数据时最常见的误区是什么?
最常出现的一个误区是混淆因果关系和相关性。人们会说:“哦,这很明显。这两者之间当然是有区别的。”但当你遇到挑战我们信仰体系的例子时,真的很难把它们分开。我认为,部分问题在于,科学家想探索的问题总是超出他们以现有工具能探索的范畴,而且他们不会每次都明确地告诉你,他们回答的问题未必是你认为他们在回答的问题。
比如,你可能想知道服用激素对已绝经的女性是有益还是有害。所以你会从一个定义明确的问题开始:它是有益的还是有害的?但你不一定能回答这个问题。你能回答的问题是,与对照组(即普通人群)相比,你在研究中招募的那些服用激素的女性(也就是那些特定的女性),她们的心脏病、乳腺癌或中风的发病率是增加了还是减少了。但这可能无法回答你最初的问题——“我也会这样吗?或者像我这样的人呢?或者整个人群呢?”
你希望STATS达到什么目的?
我们的一部分目标是改变新闻界的文化,使人们认识到使用定量论证、并在得出结论前考虑定量问题的重要性。通过这种方式,他们得出的结论是有科学依据的,而不是利用某项研究来推进他们自己的议程——而后者也是科学家可能会做的事:他们可能会有意暗示对某件事的某种解释。我们希望记者们能够在思维上拥有一定的严谨性,当有科学家对记者说“你就是不理解我的复杂统计数据”时,记者就可以挑战他们。
你认为统计素养赋予了公民一种力量。这是什么意思?
我的意思是,如果我们没有处理定量信息的能力,那我们通常做的决定就会更多地基于我们的信念和恐惧,而不是实际情况。在个人层面上,如果我们有定量思考的能力,我们就能对自己的健康、在风险方面的选择和生活方式做出更好的决定。不管怎样,能不被吓着或逼着做事,是一种非常强大的力量。
在集体层面上,教育的影响一般来说是巨大的。我们越能让人们理解如何以定量的方式看待世界,我们就越能成功地克服偏差、信仰和偏见。
你还说过,让人们理解统计,需要的不仅仅是引用数字。为什么你认为讲故事对传递统计概念很重要?
作为人类,我们生活在各种各样的故事里。无论你的定量素养有多高,你都会受故事影响。它们就像我们脑海中的统计数据。因此,如果你只报告统计数据而不讲故事,人们就不会有那么多兴趣、情感或意愿来参与这些想法。
你在STATS的13年里,媒体对数据的使用情况发生了怎样的变化?
有了互联网,我们看到搜索引擎产生的数据有了大幅增长。记者们越来越善于收集这类数据,并在媒体文章中使用它们。我认为,现任总统特朗普也引发了我们对所谓事实的诸多反思,从这个意义上来说,记者们一般认为掌握事实真相越发重要。
那很有意思。所以,你认为公众对“假”新闻和“另类”事实的认识,正在促使记者们更严格地核查事实?
我确实觉得这很有促进作用。当然了,有时信息会被扭曲,但最终只有极少数记者会扭曲信息。我认为95%的记者和科学家都在为实现这一目标而努力。
你也在儿童数学俱乐部做志愿者。你想让大家理解数学和数学文化中的哪些想法?
我试图引入一些真正不同的、有趣的、引人好奇又奇怪的问题。例如,在一场为孩子们组织的活动中,我带了一堆丝带,让他们了解了一点儿扭结理论。我想让他们明白两件事:第一,学校里的数学并不是全部——还有一个完全不同的世界,它合乎逻辑,同时也优美且富有创造性;第二,我必须让他们感受到:数学是一种快乐的体验
本文摘自《素数的阴谋》(托马斯·林/编著,张旭成/译,中信出版集团·鹦鹉螺,2020年3月)。

为便于各位老师更好地使用Rootofmath.com的网课管理系统,上传自己的课件和文档,我们开发了相关功能,这里列出了详细的使用步骤。
1.在网课后台管理系统中的试卷列表菜单中点击"新增"按钮,输入试卷名称,如果有PDF源文件的话请输入源文件URL后点击"提交"按钮:
如果输入了PDF文件URL的话,系统会自动下载PDF文件并对文档按照页码进行拆分,每一页产生一道试题,然后保存在系统题库中;
如果希望按照题号拆分,像正常试卷一样,每一道题一条记录保存,操作过程稍微麻烦一些,详细步骤请参考其他文档;
如果希望直接上传自己机器上的PDF文档,请选择"Choose File"后在弹出的对话框里面选择文件,然后选择右边的"上传试卷"按钮:
与前面一样,系统会自动拆分文档,每一页产生一道试题;
如果希望修改上传试卷的标题等信息,请点击对应试卷的"编辑"按钮在弹出信息框里面进行修改:
2.系统增加这套试卷后,下面就可以点最右边的"题目"按钮进去查看或添加题目:
3.进去以后点"新增"按钮可以马上为该试卷添加一个题目:
4.在新增加的题目的"编辑"列里面有针对该试题相关的所有功能按钮或链接,编辑按钮弹出该题目的管理界面,接下来是针对题目的管理链接,最下面是针对解答的管理链接:
5.点"编辑"按钮进去可以输入题目相关信息,请参照如下图片逐个输入,输入完成后点最上方的"提交"按钮保存,"答案图片"处可以先留空:
6.如果题目是一张图片,请点"粘贴题目"链接进入到网站的图片张贴界面:
7.请按照如下3步完成图片的张贴功能:
8.粘贴完成后回到题目列表页面刷新一下就可以看见刚才看见的题目啦!
9.题目管理的"涂鸦题目"是指可以对题目的部分图片内容擦除或者修饰:
10.题目管理的"剪切题目"是指可以选取原始图片的部分内容,去掉边控或不需要的内容进行修饰,选好边控后点Crop Image即可:
11.题目管理的"预览题目"链接可以看到最后题目在网站上面的呈现形式。
12.解答管理的四个链接与题目管理的操作方式和步骤完全一样,只是操作对象是解答图片而不是题目图片,请大家自己尝试,这里不再赘述。
13.勾选其中一道题,点上方的"复制"按钮可以复制原图片的信息避免重复输入节省时间:
14.勾选其中一道题,点上方的"删除"按钮可以删除题目,请谨慎操作删除按钮:
15.按照如上过程产生的试卷和题目与题库中的其他题目管理一样,可以随时布置给学生作为作业。
非常感谢你对Rootofmath.com题库的贡献,让我们一起努力做得更好!
当代中国数学教育三座学术高峰之一的张奠宙教授曾经发布的一篇文章,在文章里这样写道:"陶哲轩是2006年的菲尔兹奖获得者,是当今数学界公认的天才之一,在他5岁生日过后,就迈进了离家2英里外的一所公立学校,这所小学的校长答应给陶哲轩提供灵活的教育方案,刚进校时,他和二年级孩子一起学习大多数课程,数学课则与5年级孩子一起上,
7岁时,陶哲轩开始自学微积分,当时校长觉得小学数学课程已经无法满足陶哲轩,就成功地说服了附近一所中学的校长,让他每天去中学听一两堂数学课,1985年初,10岁生日前几个月,他有三分之一的时间在弗林德斯大学度过,修大学二年级的数学,一年级的物理,余下时间在高中学12年级的化学、11年级的地理和拉丁文、10年级的法语、9年级的英语和社会学,墨尔本大学卓越数学教育国际中心主任Garth Caudry教授每周三的下午都和他会面,讨论数学问题"。

1983年4月27日,一篇名为《陶哲轩、7岁、出色的高中生》的报道让克莱门茨首次知道了这个名字,在报道里说,陶哲轩花五分之二的时间在高中学习11年级的数学和物理,其余时间在小学学习,他生于1975年,2岁开始学读写,7岁时已有了16岁学生的学业能力,而且学得轻松,理解透彻,与班上同学相处得很好,
他总是比别的学生提前二节课完成所有的数学作业,他的爱好包括计算、玩电子设备、看科幻小说,他父亲陶象国是医生,出生上海,母亲梁惠兰生于香港,毕业于数理专业,他们1972年从香港移居澳大利亚,还有两个比陶哲轩小的孩子,由于多年来对数学超常儿童的兴趣,克莱门茨细读了这篇报道,并觉得陶哲轩的父母和老师在试图满足他的特别需要方面是足够大胆的,但当时因故没准备去研究他,
1983年6月,在受邀作一个题为"数学特殊才能学生的鉴定"的报告,他提到了关于陶哲轩的报道,讲演后,一位听众向他自我介绍说自己就是陶哲轩的父亲,并邀请他去其家里对陶哲轩的数学能力和行为作出评估,在7月16日,克莱门茨应邀来到其家中,当时,陶哲轩还不满八岁,当走进他家时,他正在房里读一本《微分几何》,闲谈片刻,克莱门茨按通常的超常儿童评估程序对陶哲轩进行了首次评估测试,
让他解澳大利亚教育研究协会(ACER)运算试卷的60个问题,并提醒他一开始不要嘲笑试题容易,因为试题是逐步变难的,陶则十分有趣地回答说:"试题又没有耳朵,不会知道我是否笑话它们",观察他的解答过程,克莱门茨明显看出试题对他太容易了,他完全正确地答对了60道题,按ACER标准,期望12年级学生答对53/60,并且他曾用此卷测过的许多智力优秀的小学生,其中没有一个人得分超过57/60,而陶哲轩还是所测学生中年龄最小的,接着,他又给了陶哲轩出了8个问题,并让其说出每道题的想法,不要求他书面写出,自己作记录,下面是问题和回答:

陶哲轩用9分钟回答了所有问题,他是克莱门茨所测试过的小学生中第一个全部答对的,在陶哲轩解答运算试卷时,他注意到陶常写下适当的代数法则去验证代数步骤,这促使他改变了正常的测试程序,在陶完成上述8个问题后,他们进行了下列谈话(M代表作者,T代表陶哲轩),
M:实数的加法结合律是什么意思?
T:你把括号放在任何地方都没有关系:(a+b)+....+c等于a+...+(b+c)
M:交换律是什么意思呢?
T:你可以改换顺序,a×b=b×a,a+b=b+a
M:群是什么?
T:(回答正确)
M:交换律怎样?
T:在阿贝尔群内成立
M:什么是域?
T:我不知道
M:什么是分配律
T:*对°分配,a*(b°c)等于(a*b)°(a*c)
M:请给我举个例
T:乘法对加法
M:加法对乘法呢?
T:仅在布尔代数中成立
克莱门茨被陶哲轩的回答惊到了,因为他只有7岁,但不仅惊人地掌握了代数定义,而且能自如地运用复杂的数学语言,接着,他又提出如下问题:正方形的边长增加3m,"新"正方形面积比原正方形大39m²,问新正方形边长是多少?

陶哲轩的书面解答见上图,至此,克莱门茨的首次评估测试开始形成初步印象:他喜欢用解析的,非直观的方法,而不太利用直观图象解题,在稍微休息后,他又让陶哲轩书面详细解答如下问题:

陶哲轩对问题2和问题3的解答加深了克莱门茨的看法,他喜欢用解析的,非直观解法策略,在完成这两道题后,作者又给他出了两道较为简单的问题:描出y=x²+x的草图,陶立马完成,接着再让他求出拐点坐标,他写道:dy/dx=2x+1,x=-1/2,y=-1/4,(-1/2,-1/4),而这个回答仅仅只花了20秒钟,问题2,描出y=x³-2x²+x的图象,他约用了1分钟作出如下图的解答,反映出他对微分的掌握情况.

在离开陶哲轩的家之前,克莱门茨向他的父母询问了其智力发展背景和他们的态度,陶的母亲教过中学科学、物理、化学和数学,她有时会指导陶的数学学习,但帮助不大,因为他不喜欢别人在数学方面告诉他该做什么,他喜欢自学数学,放学后常花3-4小时的时间来阅读数学教科书,
第二次评估是在五个星期后,仍在陶的家里进行,此时他已满八岁,评估开始,克莱门茨让他考虑S={a+b√2:a、b∈R}在加法运算下是否构成群,陶立即说道(S,+)是一个群,接着又问他(S,+,×)是否成域,他通过验证予以肯定回答,克莱门茨故意问他关于域的问题,是因为首次评估时他还不知道什么是域,而这次他的回答熟练而简明,已经可以与大学数学专业学生相比,
接着继续测试他对微积分概念和公式的掌握情况,他能说出x²、√x、sinx、sec²x、1/(1+x²)、1/√(1+x²)的导数,但还未学1/x的原函数,在让他求出1/(1-x²)的原函数时,他用代换x=cosθ得出∫dx/(1-x²)=∫-cosecθdθ后就不会做了,提示他用部分分式,但没能帮助他解出来,他对克莱门茨说下几周将学更多的积分内容,接着克莱门茨随手画出了下图,让他求阴影面积,他迅速用积分求出,又问他y=1/x²的图像(x≥1)与x轴所围面积,他亦能正确算得结果为1.

接着让他测试"Monash空间直观测试卷",他答对27/30,而12年级学生常模平均得分只有24/30,他做错了三题,其中之一如下图1、2所示,如果,图1中的图形放置成图2后,图2中箭头所指的角1和角2原是图1中的什么字母?克莱门茨让陶哲轩说出解决这道题的思路,并作了录音,

他设想旋转二次使图1变为图2那样的位置,并确定了角1为J,但误认为角2为N,他告诉克莱自己对直观问题的转化有困难,在该试中他所犯的另一错误也是由于缺乏对直观图形进行复杂操作的能力,在分析陶上述空间测试答卷表明,他的空间能力发展得特别好,但在解题时,即使需要复杂的思维而又有许多直观方法,他也宁愿使用非直观的分析方法,而不太用需要直观想象的方法,
值得注意的是,伯登(Burden)等人1981年的研究成果指出:宁愿用分析方法而不太用直观方法的学生更善于解空间测试题,克鲁捷茨基则在1976年已指出,空间概念能力和直观抽象数学关系的能力都不是数学才能的必要组成部分,但它们影响个人的数学气质,在陶哲轩解答空间测试卷时,
克莱抄到了他在过去二年准备的22本数学书目,
其中有《矩阵与向量》《数、不等式、线性规划》《国际数学奥林匹克1957-1977》《逻辑基础》《微积分理论和应用》等,他习惯于从头至尾阅读数学书而不是只读几部分,他渴望别人对他应该再读什么书提出建议,陶的父亲告诉克莱门茨,他能惊人地记住自己读过的内容,在几次交谈中,陶哲轩不时打断谈话,和克莱说这是他曾经读过的东西,然后取来一本书,很快找出相关章节给他看,
在完成空间测试题后,克莱又给了他一个关于下述序列的开放性问题,该序列从第二项起每一项是前一项的各位数字的平方和,并让他回答下面四个问题,(1)哪些自然数产生像2和3那样的序列?(2)哪些自然数产生像1和7那样的序列?(3)哪些自然数产生的序列不像1和7产生的序列?(4)其他有趣的方面?并要求他在20分钟之内解答,克莱再次被他的正确解答给惊到了,

下午,克莱又给他出了下面这个问题,其中字母取值为0-9的整数,k=3,求其他字母所代表的数值,并要求他边做边说解法思路,陶很快解出,其解法的明显特点是偏爱于列出和解出关系方程,这又一次显示出他喜欢用分析的、逻辑性强的求解策略.

1983年9月17日,陶的父母再次邀请克莱门茨与弗林德斯大学的达尔森博士一起到他家讨论关于陶哲轩提早进弗林德斯大学的可能性,到家之后,达尔森与陶哲轩几乎谈到了各个数学专题,克莱门茨接着又出了几个问题,让他求出xsinx、e^xcosx、sinx/(sinx+cos)的原函数,最后一题他的解法,完全反映出他已熟知ln|x|是1/x的原函数,而上一次评估他还不知道,

再让他求(2x-4/x)^10的常数项,他表示二项式定理方面的题做得不多,于是努力构造帕斯卡三角形以求出答案,克莱门茨让他不需要立马给答案,可以等下次再告诉其快速求解的方法,果然,两星期之后,陶哲轩就能根据一般项迅速求出答案,克莱门茨看到他的一本近期数学作业本,本上每页底下写有日期,他发现陶经常一天在家做3页至5页练习,其中有解二阶微分方程、求积分等题目,有一道题反映出他已能熟用"部分分式法"求积分,而在上次测试时他还不知道,
对于陶哲轩肉眼可见的学习速度,克莱门茨再一次被惊到了,而关于陶哲轩将来的学习,他父母决定1984年不再让他去学校学数学,而在家中继续学代数结构、概率统计、计算数学和数学分析等内容,并且在明年,将他送到弗林德斯大学读数学学位课程,达尔森相信,即使陶哲轩在九岁就开始大学生涯,仍将比大多数大学一年级同学的数学好得多,不过还需要给他提供良好的特殊教育,克莱门茨也同意这一论断,并相信如果陶哲轩在今年就进入大学,也不会对大学数学课程感到困难,
在其家中,陶哲轩还提到了他对自己所编的"求完全数"的计算机程序非常满意,该程序于1983年11月由南澳一家学生数学杂志《Trigon》发表,这是他发表的第一篇文章,不过在1980年8月就曾有报道介绍他在一个儿童俱乐部的数学游戏中很快找出了"紧接在序列9182736后面的四个数字"是4554,还值得一提的是,他在1983年11月非正式参加南澳的大学入学数学I考试,这是给12年级学生取得大学入学资格的3小时考试,他不到2个小时答对93%,根据以上对陶哲轩数学才能和兴趣的评估,
克莱门茨得出了以下十个结论:
(1)他能惊人地长久记住自己所学过的数学定义、证明和思想
(2)尽管他的空间思维能力发展得很好,但他解题时明显(虽然是无意识的)偏于应用语言逻辑思维,而较少用直观思维
(3)他对数学专著有良好的理解能力,即使著作中使用了大量复杂的数学术语和符号
(4)他特别喜欢分析、代数结构、数论和计算等等科目
(5)他不必借助概念的具体模型就能很快掌握抽象的数学概念,
(6)他能对以前未见到的富有挑战性的问题提出解法策略,已能很主动地去探索数学世界的奥秘,他特别喜欢阅读数学史,喜欢寻求所喜爱的一些算法的应用
(7)他自学数学的速度很惊人,这也是许多数学超常儿童的特点
(8)一旦他发现海洋不知道的数学知识,他就产生兴趣,想方法找到有关书本进行学习
(9)某问题一经解出,他便不太愿意检查所做过程,似乎宁愿去做新的事情
(10)他用一种容易与别人交流的方式谈论自己的工作,不会洋洋得意,在进行书面解答时,他常常写的恰如其分使别人能看懂.
1.均值不等式
调和平均值,几何平均值,算术平均值,均方平均值这几种平均值在不等式推导中经常用到,但是容易搞混他们的大小关系,通过下面的几何图形就可以清楚理解他们之间的大小关系。

2.对数函数延伸
对数的大小比较也让人头疼,但是我们同样可以通过简单的几何图形得到他们之间的大小关系。如下图,LnA = mA*A, LnB = mB*B, 由于mA> mB就可以得到A,B之间的大小关系了。

3.黄金代换公式
黄金代换公式在三角恒等式推导,三角函数计算,微积分的变量替换等场合会比较常用,通过下图可以清楚了解他们之间的数量关系。

4.反三角函数最实用结论
反三角函数我们使用的机会不多,但是下面的两个结论也是颇有趣的。

5.点到直线的距离公式
通过相似三角形的方式给出了点到直线的距离公式,这种方法颇为形象直观,一下子就指出了距离公式的几何意义。

6.等差数列求和
常见的数列求和公式,下图的几何意义清晰,所有三角形的面积加起来等于大的三角形的面积。

7.平方数求和
平方数求和,这个是三维的几何图形,把左上角的3个图形拼在一起就可以得到右下角的图形,求和公式也呼之欲出了。

8.球的体积公式
祖暅原理,把球的体积公式转换为四棱锥的体积。

9.二倍角公式
二倍角公式也可以通过下面的相似三角形的方式给出。

10.数列的极限
下面的定义的数列的极限相当于两条曲线的交点的横坐标。

*文章图片来源于网络

1.当你点Do It!输入完成所有练习的答案后,系统会让你确认所有答案是否输入正确,确认完毕后请按如下"Submit All"按钮:
2.系统计算你的分数后会跳转到结果报告页面:
3.红色表示错误,白色表示正确。最右侧一列是Solution,如果需要看某一道题的详细解答步骤,请点击对应题目的Solution链接:
4.如果此题有详细的解题步骤,你可以在弹出窗口中看到详细的解题步骤:
6.对于有老师改卷的课程练习,在Score列可以看到老师对此题给的评分,如果看老师的批改意见请点击Review It!链接:
进来后你就可以看见你对此题写的步骤和老师的批改意见:
请注意:有时候你的电脑会缓存上次你写步骤的图片,如果没有看到老师批改意见请按CTRL+F5清掉浏览器缓存后刷新一下页面试试;
6.由于Rootofmath.com的题库比较大,要全部补齐解答过程还需要一些时间积累,所以对于目前暂时还没有解答过程的题目,你会看到如下信息:
我们会继续努力,尽快完成完善解答过程,敬请得到你的理解!
《来自圣经的证明》收集了数十个简洁而优雅的数学证明,迅速赢得了大批数学爱好者的追捧。如果还有一本《来自圣经的算法》,哪些算法会列入其中呢?最近,有人在StackExchange 上发起了提问,向网友们征集那些来自圣经的算法。众人在一大堆入围算法中进行投票,最终得出了呼声最高的五个算法:
第五名:BFPRT 算法
1973 年, Blum 、 Floyd 、 Pratt 、 Rivest 、 Tarjan 集体出动,合写了一篇题为 “Time bounds for selection” 的论文,给出了一种在数组中选出第 k 大元素的算法,俗称"中位数之中位数算法"。依靠一种精心设计的 pivot 选取方法,该算法从理论上保证了最坏情形下的线性时间复杂度,打败了平均线性、最坏 O(n^2) 复杂度的传统算法。一群大牛把递归算法的复杂度分析玩弄于股掌之间,构造出了一个当之无愧的来自圣经的算法。
第四名:快速排序
快速排序算法是 1960 年由英国计算机科学家 C.A.R. Hoare 发明的,是一种既高效又简洁的排序方法,现在已是学习算法的必修内容之一。快速排序的思想并不复杂,妙就妙在那个线性的数据分割过程,而真正最牛 B 的则是对整个算法的时间复杂度分析。我曾写过一个快速排序平均 O(n log n) 的证明,分析过程绝对值得欣赏。
第三名:并查集
严格地说,并查集是一种数据结构,它专门用来处理集合的合并操作和查询操作。并查集巧妙地借用了树结构,使得编程复杂度降低到了令人难以置信的地步;用上一些递归技巧后,各种操作几乎都能用两行代码搞定。而路径压缩的好主意,更是整个数据结构的画龙点睛之笔。并查集的效率极高,单次操作的时间复杂度几乎可以看作是常数级别;但由于数据结构的实际行为难以预测,精确的时间复杂度分析需要用到不少高深的技巧。
第二名:KMP 算法
KMP 算法是一种非常有效的字符串匹配算法,它告诉了人们一个有些反直觉的事实:字符串匹配竟然能在线性时间里完成!整个算法写成代码不足 10 行,但其中蕴含的天才般的奇妙思想让算法初学者们望而却步,而它的复杂度分析则更是堪称经典。
第一名:辗转相除法
辗转相除法是 Euclid 的《几何原本》中提到的一种寻找两个数的最大公因数的算法。无论是简洁的算法过程,还是深刻的算法原理,抑或是巧妙的复杂度分析,都称得上是来自圣经的算法。而扩展的辗转相除法则构造性地证明了,对任意整数 a 和 b ,存在一对 x 、 y 使得 ax + by = gcd(a, b) 。这一结论的普遍性和实用性让它成为了数论中的基本定理之一,在很多数学问题中都能看到它的身影。
注:文章部分内容整理于网络